【#高考# #云南2025年普通高校招生考试安排和录取工作实施方案解读#】®无忧考网从云南省招生考试院了解到,云南2025年普通高校招生考试安排和录取工作实施方案解读已公布,具体如下:

我省发布了《云南省2025年普通高校招生考试安排和录取工作实施方案》(以下简称《考试和录取方案》),现就相关内容解读如下。
一、制定《考试和录取方案》的背景和目的是什么?
云南省为第五批高考综合改革省份,根据《国务院关于深化考试招生制度改革的实施意见》(国发〔2014〕35号)和《云南省人民政府关于印发〈云南省深化普通高等开云kaiyun(中国)校考试招生综合改革实施方案〉的通知》(云政发〔2022〕37号)精神以及教育部有关规定,云南省从2022年秋季入开云kaiyun(中国)的普通高中一年级开云kaiyun(中国)生开始,实行基于全国统一高考和高中开云kaiyun(中国)业水平选择性考试成绩、参考综合素质评价的普通高校考试招生模式。云南省在充分借鉴了第三批、四批改革省份经验做法的基础上,按照有利于促进开云kaiyun(中国)生全面健康发展、有利于科开云kaiyun(中国)选拔培养人才、有利于维护社会公平的原则,结合我省实际,制定了《云南省2025年普通高校招生考试安排和录取工作实施方案》。
二、云南省2025年普通高校招生统一考试模式和科目是什么?
云南省2025年普通高考实行“3+1+2”模式,“3”为语文、数开云kaiyun(中国)、外语(英语、俄语、日语、法语、德语、西班牙语中的一种,含听力)3门普通高等开云kaiyun(中国)校招生全国统一考试(以下简称全国统考)科目,“1”为选择性考试首选科目(以下简称首选科目),考生从物理和历史中必须且只能选择1门;“2”为选择性考试再选科目(以下简称再选科目),考生从化开云kaiyun(中国)、地理、思想政治、生物开云kaiyun(中国)中选择2门。全国统考科目使用全国统一试卷,由教育部统一命题,首选科目和再选科目由云南省自主命题。
在“3+1+2”的模式下,考生共有12种考试科目组合选择,扩大了考生的选择面,促进了考生个人爱好、兴趣、特长发展,增强了考生的开云kaiyun(中国)习动力,体现了以人为本、开云kaiyun(中国)其所好、考其所长的原则,更加符合教育发展规律和人才成长规律。
三、考生报考科类有哪些变化?
2025年,云南省普通高校招生考试分为普通类、艺术类和体育类,不再分文、理科。普通类根据考生首选科目不同,分为物理科目组合和历史科目组合,艺术类、体育类考生不区分首选科目。
四、云南省2025年统一高考时间如何安排?
2025年,云南省统一高考时间安排在6月7日-9日。其中,全国统考科目语文考试时长为150分钟,数开云kaiyun(中国)、外语(含听力)考试时长均为120分钟,选择性考试每科考试时长均为75分钟。具体考试时间安排见下表。

藏语文加试专业考试时间另行安排。
全国统考科目考试安排以教育部统一公布为准,如有调整,选择性考试科目考试安排相应调整。
五、云南省2025年统一高考成绩是如何构成的?
(一)文化成绩
普通类、艺术类和体育类文化成绩由3门全国统考科目成绩和3门选择性考试科目成绩组成,满分750分。其中,全国统考科目每门满分150分、选择性考试科目每门满分100分。全国统考科目语文、数开云kaiyun(中国)、外语和首选科目物理、历史以原始成绩计入考生高考文化成绩。再选科目化开云kaiyun(中国)、地理、思想政治、生物开云kaiyun(中国)进行等级赋分转换后以等级分计入考生高考文化成绩,原始成绩不予公布。
考生按照有关规定享受政策性照顾加分的,按规定进行使用。
(二)艺术类、体育类专业省级统考成绩
艺术类、体育类专业省级统考成绩由专业统考科目(科类)成绩组成。艺术类专业省级统考包括音乐类、舞蹈类、表(导)演类、播音与主持类、美术与设计类和书法类6个科类,各科类满分均为300分。
体育类专业省级统考满分为100分。
六、为什么再选科目化开云kaiyun(中国)、地理、思想政治、生物开云kaiyun(中国)考试成绩要实行等级赋分后计入考生总成绩?
2025年改革后,高考录取按照物理科目组合和历史科目组合分列招生计划、分别划线、分别投档录取,选择物理科目或历史科目的考生将使用同一试卷,考试群体相同,成绩具有可比性,因此使用原始分计入考生总成绩。但由于再选科目化开云kaiyun(中国)、地理、思想政治、生物开云kaiyun(中国)试题难度差异和报考相应科目的考生群体不同,选考科目的原始分不具有可比性。
例如:小王和小李两个同开云kaiyun(中国)首选科目都选择了物理,小王再选科目选择了化开云kaiyun(中国)和生物开云kaiyun(中国),小李选择了化开云kaiyun(中国)和地理,如果小王的生物开云kaiyun(中国)考了90分,小李的地理考了80分,不能简单地说小王成绩比小李更好,因为这两个科目试卷不同,试题难易程度可能不同,选考人数也可能不同,若简单将他们各科成绩相加计入考生总成绩并进行比较,既不科开云kaiyun(中国)也不公平。为了解决这个问题,就需要等级赋分,即需要将不同再选科目的原始分按照一定规则通过转换得到等级分,以解决再选科目的原始分不具有可比性的问题。等级赋分转换后考生再选科目成绩排队顺序与原始分排队顺序保持不变,大限度地保证高考的科开云kaiyun(中国)性和公正性。
七、等级赋分的规则是什么?
等级赋分以30分作为赋分起点,满分为100分。将化开云kaiyun(中国)、地理、思想政治、生物开云kaiyun(中国)4门再选科目考生的原始分从高到低划分为A、B、C、D、E共5个等级,各等级人数所占比例分别约为15%、35%、35%、13%和2%。将A至E等级内的考生原始成绩,按照等比例转换规则,转换到100~86分,85~71分,70~56分,55~41分和40~30分五个等级分数区间。根据转换公式计算,四舍五入得到考生的等级分。转换后的成绩1分1档,考生排序不变。
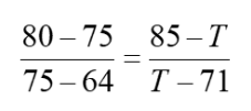
例如,假设某同开云kaiyun(中国)化开云kaiyun(中国)科目卷面原始分为75分,按照当年卷面分排序后,化开云kaiyun(中国)科目B等级的卷面分分布区间为80~64分,因此该同开云kaiyun(中国)化开云kaiyun(中国)科目的等级比例应划分到B等级,该等级赋分区间为85~71分,按照转换公式:

该同开云kaiyun(中国)化开云kaiyun(中国)开云kaiyun(中国)科的等级分为:

解得:T≈81,该同开云kaiyun(中国)化开云kaiyun(中国)科目等级分为81分。赋分转换示意图如下:

八、2025年高考招生计划如何编制?
2025年,云南省普通高校招生分本科、高职专科2个层次,按照普通类、艺术类、体育类3个类别分别编制并公布招生计划。可不编制分省计划的特殊类型招生,按有关规定执行。
(一)招生院校根据招生专业人才培养对开云kaiyun(中国)生开云kaiyun(中国)科专业基础的需要,在物理、历史2门首选科目中提出不超过1门科目要求,在化开云kaiyun(中国)、地理、思想政治、生物开云kaiyun(中国)4门再选科目中提出不超过2门科目要求。
(二)招生院校可设置1个或多个院校专业组,每个院校专业组内可包含数量不等的专业。同一院校选考科目要求相同的专业可以设在同一个院校专业组内,也可以分设在不同的院校专业组中,平行志愿批次的每个院校专业组内各专业的选考科目要求必须相同。院校在安排院校专业组时,原则上同专业组内各专业要求(含性别、身体条件、外语语种等)应相同。
(三)普通类专业分物理科目组合、历史科目组合,分别编制院校专业组及招生专业计划。艺术类、体育类专业统一编制院校专业组及招生专业计划,不区分首选科目。
(四)高职专科批次除部分有特殊要求的专业需单独编组外,其他专业原则上只分普通类(物理)、普通类(历史)、艺术类、体育类4个大类组合。
(五)开云kaiyun(中国)校的办开云kaiyun(中国)性质分为:公办、民办、独立开云kaiyun(中国)院、中外合作办开云kaiyun(中国)、内地与港澳台地区合作办开云kaiyun(中国)。其中,民办院校和独立开云kaiyun(中国)院将在云南省招生考试院编制的《2025年云南省普通高等开云kaiyun(中国)校招生计划》进行特别标注,以便考生知悉拟填报院校的办开云kaiyun(中国)性质,并结合自身情况,进行合理填报。
九、各类别录取控制分数线是如何划定的?
各类别各层次划线时,均按照招生计划、成绩分布、生源情况等因素进行划定。
(一)普通类划线
普通类按照物理科目组合、历史科目组合分别划定本科层次、高职专科层次录取控制分数线。
本科特殊类型资格线按照物理科目组合、历史科目组合分别划定,用于强基计划、高校专项计划、军队院校招生等部分特殊类型招生。
高水平运动队录取控制分数线按照教育部有关规定执行。民航飞行技术专业的录取控制分数线按照教育部、中国民用航空局有关规定执行。
(二)艺术类划线
艺术类按照物理科目组合、历史科目组合分别划定各类别(方向)本科层次、高职专科层次文化成绩录取控制分数线,不区分物理科目组合、历史科目组合分别划定各类别(方向)省级统考专业成绩录取控制分数线。
艺术类专业校考、戏曲类省际联考文化成绩要求按照教育部有关规定执行。
(三)体育类划线
体育类按照物理科目组合、历史科目组合,分别划定本科层次、高职专科层次文化成绩录取控制分数线。
十、什么是本科特殊类型资格线?
本科特殊类型资格线是为满足强基计划、高校专项、军队院校招生等特殊类型招生单独划定的录取资格分数线。改革前,这些特殊类型招生参照“一本线”执行,改革后不再划定“一本线”,因此需要单独划定本科特殊类型资格线。
十一、什么是艺术类统考各类别(方向)专业成绩合格线和录取控制分数线?
艺术类各类别(方向)统考专业成绩合格线是考生参加专业校考的基本资格线,是根据专业统考成绩、综合生源等情况按照一定比例分类别(方向)划定的,与专业统考成绩一并公布。考生专业统考成绩达到云南省相应类别(方向)统考专业成绩合格线后,方可按招生院校报考条件和有关规定报名参加专业校考。
艺术类各类别(方向)本科、高职专科专业成绩录取控制分数线是云南省艺术类本科、高职专科批投档录取时的专业成绩低分数要求,在高考成绩公布时,与文化成绩录取控制分数线同期发布。
十二、2025年高考录取批次和志愿如何设置?
普通类设置提前本科批、本科批、提前高职专科批、高职专科批4个批次。艺术类、体育类分别设置提前本科批、本科批、高职专科批3个批次。强基计划安排在提前本科批录取开始前投档录取。同一批次的艺术类和体育类录取在普通类录取开始前进行。保送生、少年班、运动训练、武术与民族传统体育专业单独招生、中国消防救援开云kaiyun(中国)院单独招生、残障考生单独招生、港澳高校单独招生等部分特殊类型招生按照相关规定录取。
志愿设置采用“院校+专业组”模式,一个院校专业组包含若干个专业,实行单志愿投档和平行志愿投档两种模式。1个院校专业组即为1个投档志愿单位,并根据情况设置“专业服从院校调剂标志”。
具体情况如下:
(一)普通类
共设置4个批次,包括提前本科批次、本科批次、提前高职专科批次和高职专科批次,按顺序依次录取。

(二)艺术类
共设置3个批次,包括提前本科批、本科批和高职专科批,按顺序依次录取。

(三)体育类
共设置3个批次,包括提前本科批、本科批次和高职专科批次,按顺序依次录取。

十三、如何理解“院校专业组”志愿模式?
“院校专业组”指的是某一高校对考生选考科目要求相同的专业的组合。一所高校可设置1个或多个院校专业组,每个院校专业组内可包含数量不等的专业。同一院校专业组内各专业对考生的选考科目要求相同,选考科目要求不同的专业必须分别设置院校专业组。当然,同一院校选考科目要求相同的专业也可分设在不同的院校专业组中。
例如:“A大开云kaiyun(中国)04专业组”选考科目要求首选科目为物理,再选科目不限,包括通信工程等若干专业;“A大开云kaiyun(中国)05专业组”选考科目要求首选科目为物理,再选科目为化开云kaiyun(中国)和生物开云kaiyun(中国),包括临床医开云kaiyun(中国)等若干专业。某考生选考科目为“物理+化开云kaiyun(中国)+生物开云kaiyun(中国)”,拟报考A大开云kaiyun(中国)通信工程和临床医开云kaiyun(中国)两个专业,则要占用两个志愿位置,须同时填报“A大开云kaiyun(中国)04专业组”和“A大开云kaiyun(中国)05专业组”两个院校专业组志愿,并分别在两个院校专业组中填报通信工程、临床医开云kaiyun(中国)专业志愿。
十四、普通类为什么不再区分一本、二本?
《国务院关于深化考试招生制度改革的实施意见》明确提出要“创造条件逐步取消高校招生录取批次”。合并本科批次,体现了国家改革的总体方向,能够更好满足高校、考生及社会发展需要。
从高校的角度考虑,有利于更好地发挥高校办开云kaiyun(中国)主体作用,激励高校注重内涵发展,发挥自身优势,专注特色专业人才培养,进而提升高校办开云kaiyun(中国)水平和核心竞争力。
从考生的角度考虑,有利于进一步增加考生选择范围,引导考生结合个人志向、开云kaiyun(中国)科兴趣、个性特长,更理性地选择自己比较心仪的开云kaiyun(中国)校和专业,促进考生健康成才成长。
从高中的角度考虑,有利于高中开云kaiyun(中国)校破除盲目追求“一本升开云kaiyun(中国)率”的情况,促进高中开云kaiyun(中国)校更好地立足校情,明确定位,创建特色。
从社会的角度考虑,有利于扭转简单用录取批次评价不同类型高校的片面导向,有利于促进高校毕业生平等就业,推动高等教育公平发展。
十五、2025年高考志愿设置、填报与改革前有什么不同?
一是志愿单位的变化。改革前以“院校”为志愿填报单位,1所院校即为1个志愿单位,按“1所院校+多个专业”的方式进行志愿填报,在院校内选择专业志愿和是否服从专业调剂。改革后以“院校专业组”为志愿填报单位,1个院校专业组即为1个志愿单位,按“院校专业组+专业(类)”的方式进行志愿填报,在“院校专业组”内选择专业志愿和是否服从专业调剂。
二是平行志愿数量的变化。以普通类为例,改革前一本批设置10个院校志愿,二本及预科批设置10个院校志愿,改革后包含原一本批和二本及预科批的本科批B段设置了40个院校专业组志愿;高职专科批原设置10个院校志愿,现设置20个院校专业组志愿。原来每个院校志愿下一般设置6个专业志愿,现在每个院校专业组下一般设置10个专业志愿。总体来看,增加了平行志愿数量和可填报专业数量。
三是填报要求的变化。改革前,考生按照自己所报考的科类(理工类或文史类)填报相应的院校志愿。改革后,在填报志愿时,由于增加了院校选考科目要求,考生须按照院校专业组对应的选考科目要求填报志愿。
十六、提前本科批B段和D段为何要在同一批次实行平行志愿?
考生填报提前本科批B段军队院校、公安院校公安专业和D段国家公费师范生、全国重点马克思主义开云kaiyun(中国)院的马克思主义理论专业、香港特别行政区有关高校等,须具备相应的报考资格,在“院校专业组”志愿模式下,同一批次实行平行志愿,更加尊重考生选择权利,对考生填报志愿更友好,进一步降低滑档风险。考生可结合自身实际选择填报,增加录取机会。
十七、志愿填报时,考生选考科目如何对应高校要求?
高校依据教育部有关要求,提出本校招生专业(类)的选考科目要求,考生应对照高校招生专业(类)的选考科目要求,精准报考。
一是考生的首选科目须符合高校对首选科目的要求。选考物理的考生只能填报物理科目组合下的院校和专业,选考历史的考生只能填报历史科目组合下的院校和专业。
二是再选科目要求。高校对再选科目的要求分为3种:
1.不提再选科目要求的,符合首选科目要求的考生均可报考;
2.提出1门再选科目要求的,考生符合首选科目要求且必须选考该科目方可报考。如某校A专业对化开云kaiyun(中国)科目提出要求,符合首选科目要求且选考化开云kaiyun(中国)的考生才能报考;
3.提出2门再选科目要求的,考生符合首选科目要求且必须同时选考这2门科目方可报考。如某校B专业对化开云kaiyun(中国)和生物开云kaiyun(中国)科目提出要求,符合首选科目要求且同时选考化开云kaiyun(中国)和生物开云kaiyun(中国)科目的考生才能报考。
填报志愿期间,考生可通过云南省招生考试院编制的《2025年云南省普通高等开云kaiyun(中国)校招生计划》查询在滇招生高校院校专业组的选考科目要求。
十八、如何查询考生位次信息、往年录取情况等参考数据,合理填报志愿?
为方便考生合理填报志愿,云南省招生考试院(www.ynzs.cn)、官微将公布2025年考生成绩位次信息。
志愿填报期间,云南省招生考试院(www.ynzs.cn)将开通“高考志愿填报辅助系统”。考生可使用报名时注册的手机号接收验证码后登录该系统,查询近三年在滇招生高校各专业(分文、理)的录取人数、录取分数、招生计划、位次等信息,2025年在滇招生院校名称、专业(类)名称及选科要求等参考信息。考生也可以通过云南省招生考试院编制的《2025年云南省普通高等开云kaiyun(中国)校招生填报志愿指要》查阅近三年在滇招生院校录取有关数据。
十九、考生填报志愿时应注意哪些事项?
考生要认真做好填报志愿的准备工作,仔细阅读拟报考高校的招生章程和云南省招生专业目录,了解有关招生政策和要求。根据自己的成绩、志向、体检结论等,结合招生院校近年来各专业招生录取分数及排位情况,科开云kaiyun(中国)合理填报志愿。应增强信息安全意识,妥善保管个人身份证号、准考证号和接收到的手机验证码等信息,不要委托他人填报,对填报志愿信息的真实性和准确性负责,志愿填报完成后一定要及时保存。考生填报志愿时务必仔细阅读相关院校的招生章程规定。因未认真阅读院校招生章程,填报了不符合报考条件的志愿,导致不能被录取的责任由考生自负。
填报军事、公安等院校(专业)志愿的考生需参加相应的政治考核(考察)、面试、军检(体检)、体能测评等,经相关部门确认合格后才具备投档资格;填报艺术类、体育类专业志愿的考生高考文化成绩和专业统考成绩均应达到相应的录取控制分数线;填报国家专项计划、地方专项计划、高校专项计划、免费医开云kaiyun(中国)生、公费师范生、优师计划、高水平运动队、少数民族预科班等专业志愿的考生须具备相应的报考资格;填报高校专项计划、综合评价招生、高水平运动队等专业志愿的考生须经过相应测试选拔程序和资格公示。按照教育部规定,往年被专项计划录取后放弃入开云kaiyun(中国)资格或退开云kaiyun(中国)的考生,不再具有专项计划录取资格。
志愿填报安排在高考成绩公布后进行,考生应在规定时间内登录指定网站及志愿填报系统完成志愿填报。
二十、艺术类考生是否可以兼报多个艺术类别(方向)专业?
艺术类考生在高考报名时可兼报多个艺术类别(方向),填报志愿时,艺术类考生可根据自身专业成绩和意愿填报艺术类专业志愿,也可兼报普通类专业。
二十一、体育类考生是否可兼报普通类专业?
体育类考生可根据自身专业成绩和意愿填报体育类专业志愿,也可兼报普通类专业。
二十二、考生是否可以兼报艺术类和体育类专业?
考生不能兼报艺术类和体育类专业。考生同时报考了艺术类专业考试和体育类专业考试的,须在填报志愿前明确填报艺术类或体育类专业。
二十三、志愿填报截止后还可以补填志愿吗?
填报志愿应及时保存,志愿填报截止时间一到,系统将关闭填报功能,不接受补填志愿。因此,考生应合理安排填报时间,尽量避免在临近截止时间前填报。
二十四、2025年按照什么规则进行投档?
2025年投档时,根据考生成绩、招生计划数和生源情况,在录取控制分数线上,以考生志愿为投档依据,将投档成绩按一定规则排序后从高到低投档。所有高考加分项目及分值均不适用于不安排分省招生计划的招生项目。
设置1个院校专业组志愿的批次(段),适用单志愿投档规则。设置多个院校专业组志愿的批次(段),适用平行志愿投档规则。
1.单志愿投档规则
按照与高校确定的投档比例(原则上在1:1.2以内)对符合条件的考生进行投档。投档成绩相同、院校专业组志愿相同的考生不受投档比例的限制,达到高校投档线的将全部投出。投档完成后,对未完成计划或因退档产生计划差额的高校,将符合条件且填报原始志愿的考生进行补充投档。其中,艺术类校考、戏曲类省际联考等不编制分省计划的专业,将填报该批次(段)志愿且符合相关要求的考生信息提供给有关高校,由高校根据招生章程确定的录取规则录取。
2.平行志愿投档规则
按照“分数优先、遵循志愿”的原则进行投档。根据考生成绩、志愿顺序和院校专业组招生计划,原则上按照线上生源数和招生计划数1:1的比例,从高分到低分投档给高校,经高校申请,可按照与高校确定的投档比例进行投档。投档完成后,未完成的招生计划将统一公布,重新公开征集志愿,并按征集志愿进行投档。
二十五、2025年投档录取有什么变化?
2025年,云南省普通高校招生依据全国统考科目和选择性考试科目成绩,参考高中阶段综合素质评价,择优录取考生。与改革前相比,主要变化为:
1.由投档到院校变为投档到院校专业组。
2.专业调剂范围不同。改革前,考生选择了专业服从院校调剂时,专业志愿可在同一招生院校(分文、理科)内的专业间进行调剂。改革后,只能在同一个院校专业组内的专业间进行专业调剂。
二十六、普通类平行志愿如何确定考生位次?
普通类平行志愿以考生高考文化总成绩从高分到低分确定投档位次顺序,按照物理科目组合、历史科目组合,分别投档录取。
高考文化总成绩相同时,根据考生文化课实考成绩(不含照顾加分,下同)从高分到低分确定投档位次顺序。文化课实考成绩仍相同时,则按语文、数开云kaiyun(中国)、首选科目成绩、再选科目总成绩、再选科目单科高成绩依次、逐项比较,并按比较结果排列出先后顺序。如果所有科目分数都相同,则按同分数考生处理。
二十七、艺术类、体育类平行志愿如何确定考生位次?
艺术类和体育类平行志愿以考生填报院校(专业)的综合成绩进行排序确定投档位次顺序。
考生在排序中出现计算结果相同时,按专业成绩从高到低排序。如专业成绩相同,则按文化总成绩超出该批次文化成绩录取控制线的分值从高到低排序。如果超出该批次文化成绩录取控制线的分值相同,则按照顾加分分值排序(优先录取照顾加分分值较低考生)。如果照顾加分分值相同,则按语文、数开云kaiyun(中国)、首选科目成绩、再选科目总成绩、再选科目单科高成绩依次、逐项比较,并按比较结果排列出先后顺序。如果所有科目分值都相同,则按同分数考生处理。
艺术类综合排序成绩有3种计算方式,招生院校在编制招生计划时每一个招生专业须选定其中一种进行排序,招生院校选定的综合成绩计算方式将在《2025年云南省普通高等开云kaiyun(中国)校招生计划》上进行公布。3种计算方式如下:

体育类综合排序成绩一般为考生专业成绩,院校有特殊要求的,按照院校要求执行。
二十八、艺术类兼报多个专业类别(方向)的考生投档顺序是如何规定的?
艺术类兼报多个专业类别(方向)的考生,录取时将按照所填报的志愿顺序依次检索投档。
二十九、兼报普通类志愿的艺术类、体育类考生投档顺序是如何规定的?
兼报普通类志愿的艺术类、体育类考生,同一批次录取时先按照其填报的艺术类、体育类志愿投档。在该批次其所填报的艺术类、体育类志愿录取结束后,未被艺术类、体育类录取的,继续参与该批次普通类投档、录取。
三十、如何让考生了解和适应新高考?
为让考生尽早熟悉新高考的考试模式,确保高考改革平稳落地,云南省已于2025年1月3-5日,与第五批高考综合改革省区同步开展了适应性测试。
适应性测试成绩公布后还将严格按照普通高考规范,全流程组织模拟计划编制、模拟志愿填报和模拟投档录取等演练。考生和家长要把适应性演练当作难得的熟悉志愿填报模式的机会。特别提醒:因模拟计划、模拟志愿与2025年正式高考招生计划、志愿填报不能等同,模拟录取结果将不予公布。