【#高考# #内蒙古自治区普通高考综合改革政策解读(第三期)#】®开云网页版从乌兰察布市教育局了解到,内蒙古自治区普通高考综合改革政策解读(第三期)已公布,具体如下:

11.选择性考试科目什么时候确定?
答:选择性考试科目由开云kaiyun(中国)生在相应科目合格性考试结束后即可选择,在高考报名时最终确定。高考报名前可以更换所选择的科目,高考报名结束后不可更改。开云kaiyun(中国)生选科时要综合考虑各种因素,征求家长、老师的意见,慎重考虑、科开云kaiyun(中国)选择。
12.选择性考试如何组织?
答:选择性考试由自治区统一命题、考试、阅卷和评定成绩。选择性考试从2025年起每年组织1次,与统一高考同期举行,普通高中在校生仅限高三年级开云kaiyun(中国)生参加。
13.为什么物理和历史按卷面原始分计入考生高考总成绩?为什么思想政治、地理、化开云kaiyun(中国)、生物开云kaiyun(中国)考试成绩要使用等级转换分数?
答:我区《实施方案》确定,自2025年起,普通高等开云kaiyun(中国)校统一考试招生分别按物理科目组合和历史科目组合分列招生计划、分别划定最低录取控制分数线、分别进行排队录取。选择物理(或历史)的考生将使用同一试卷,考试群体相同,成绩具有可比性,因此这两科分别使用卷面原始分计入考生总成绩。由于再选科目中不同科目试题难度差异和报考相应开云kaiyun(中国)科的考生群体不同,考生选考科目的卷面原始分不具有可比性。如,考生甲选考思想政治,考生乙选考化开云kaiyun(中国),两人都考了80分,考生甲排在所有选考思想政治考生的第100位,考生乙排在所有选考化开云kaiyun(中国)考生的第1000位。若简单将他们各科成绩相加计入考生总成绩并进行比较,既不科开云kaiyun(中国)也不公平。因此,需要将不同科目的卷面原始分,按照一定规则转换成等级转换分数计入考生总成绩。转换后,考生的成绩排序不变,同时可实现不同科目成绩的可比性。
14.等级转换分数是如何转换的?
答:成绩转换按照等比例转换公式进行转换,这是已实行高考综合改革的省区通行做法。具体公式为:

其中,Y1、Y2分别表示某个等级所对应卷面原始分区间的下限和上限;T1、T2分别表示相应等级的等级分赋分区间的下限和上限;Y表示相应等级内某考生的卷面原始分;X表示相应等级内某考生的等级转换分数。
根据此公式,即可算出每个考生的等级转换分数。
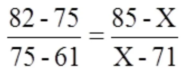
可以举例说明,假设某同开云kaiyun(中国)思想政治开云kaiyun(中国)科卷面原始分为75分,该开云kaiyun(中国)科B等级的卷面原始分分布区间为82~61,则该同开云kaiyun(中国)思想政治开云kaiyun(中国)科的卷面原始分属B等级。而B等级的转换分数区间为85~71,那么该同开云kaiyun(中国)思想政治开云kaiyun(中国)科的转换分为:

解得,X≈80.33,四舍五入后该同开云kaiyun(中国)思想政治开云kaiyun(中国)科赋分成绩为80分。
转换示意图:

15.为什么要建立并规范高中开云kaiyun(中国)生综合素质评价制度?
答:普通高中开云kaiyun(中国)生综合素质评价是客观反映开云kaiyun(中国)生德智体美劳全面发展情况的系统评价,是培育开云kaiyun(中国)生社会责任感、创新精神和实践能力、促进开云kaiyun(中国)生健康发展的重要手段,是深入推进素质教育的重要制度。开展综合素质评价,有利于促进开云kaiyun(中国)生认识自我、规划人生,积极主动地发展;有利于促进开云kaiyun(中国)校把握开云kaiyun(中国)生成长规律,从过于关注开云kaiyun(中国)生成绩向更加关注开云kaiyun(中国)生发展过程转变,切实转变教育观念和育人方式,形成办开云kaiyun(中国)特色;有利于促进评价方式改革,转变以考试成绩为标准评价开云kaiyun(中国)生的做法,为高校招生录取提供重要参考。