首页 > 中考 > 最新信息 > 广西中考 > 桂林中考 > 2024年广西桂林市中考县(市)区普通高中录取资格一等一档表

2024年广西桂林市中考县(市)区普通高中录取资格一等一档表(六等以上)

时间:2024-07-25 14:20:00   来源:桂林教育     [字体:小 中 大]

【#中考# #2024年广西桂林市中考县(市)区普通高中录取资格一等一档表(六等以上)#】©开云网页版从桂林教育了解到,2024年广西桂林市中考县(市)区普通高中录取资格一等一档表(六等以上),相关事宜详情如下:





































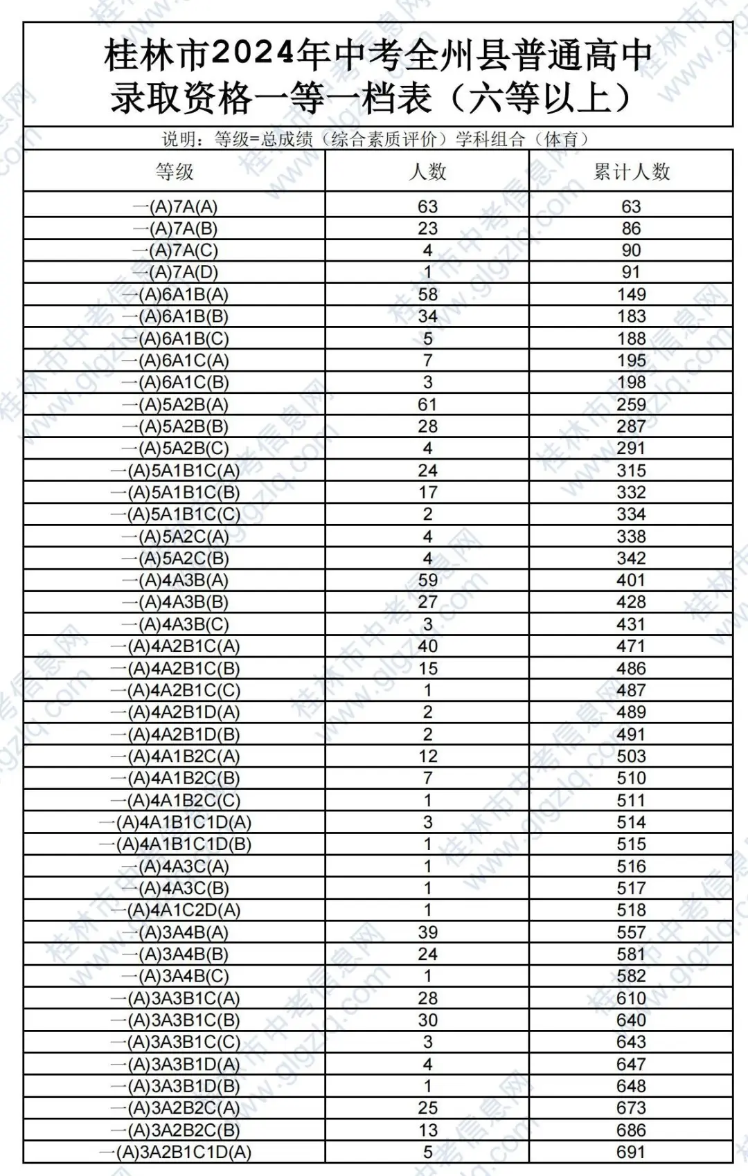
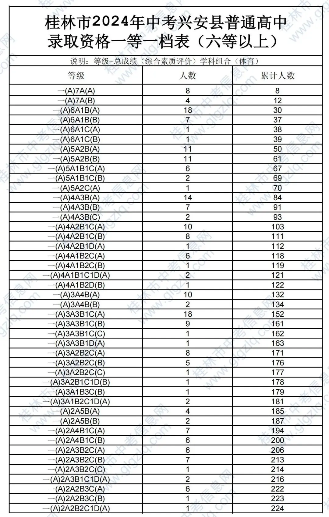
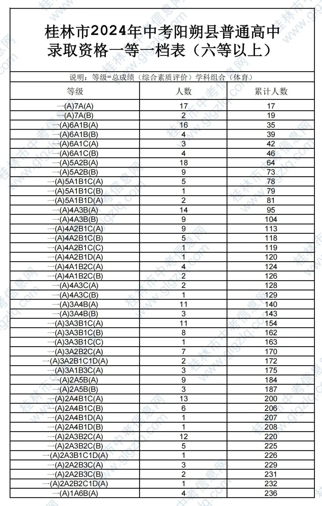
2024年广西桂林市中考县(市)区普通高中录取资格一等一档表(六等以上)
=中考试题推荐=
  • 2024年广西桂林中考道德与法治试题及答案
  • 2024年广西桂林中考语文试题及答案
  • 2024年广西桂林中考英语试题及答案
  • 2024年广西桂林中考物理试题及答案
  • 2024年广西桂林中考数开云kaiyun(中国)试题及答案
  • 2024年广西桂林中考生物试题及答案
  • 查看中考全部真题 >>
=中考文档推荐=
  • 广西桂林中考时间2025年具体时间:6月24日-27日
  • 2024年广西桂林中考道德与法治试题及答案
  • 2024年广西桂林中考语文试题及答案
  • 2024年广西桂林中考英语试题及答案
  • 2024年广西桂林中考物理试题及答案
  • 2024年广西桂林中考数开云kaiyun(中国)试题及答案
  • 查看中考全部文档 >>
2024年广西桂林市中考县(市)区普通高.docx
立即下载Word高清文档,方便收藏和打印(944字)
编辑推荐:
下载Word文档
中考广西热点文章排行榜
  • 广西中考时间2025年具体时间:6月24日-27日
  • 广西南宁中考时间2025年具体时间:6月24日-2
  • 广西玉林中考时间2025年具体时间:6月24日-2
  • 广西桂林中考时间2025年具体时间:6月24日-2
  • 广西柳州中考时间2025年具体时间:6月24日-2
  • 广西河池中考时间2025年具体时间:6月24日-2
  • 广西钦州中考时间2025年具体时间:6月24日-2
  • 广西北海中考时间2025年具体时间:6月24日-2
米兰体育-米兰体育(中国) | 开云手机入口官网-开云(中国) | 华体会登陆入口-华体会(中国) | 开云手机站官方网站入口-开云(中国) | MK体育网页版登录入口-MK(中国) | 开云网页版-开云(中国)官方 | 开云手机平台-开云(中国) | hth体育-(中国)科技公司 | 宝威体育平台-宝威(中国)一站式服务平台 |