【#高考# #2024年宁夏普通高考总分一分段统计表(已公布)#】©无忧考网从宁夏教育厅了解到,2024年宁夏普通高考总分一分段统计表公布,相关事宜详情如下:

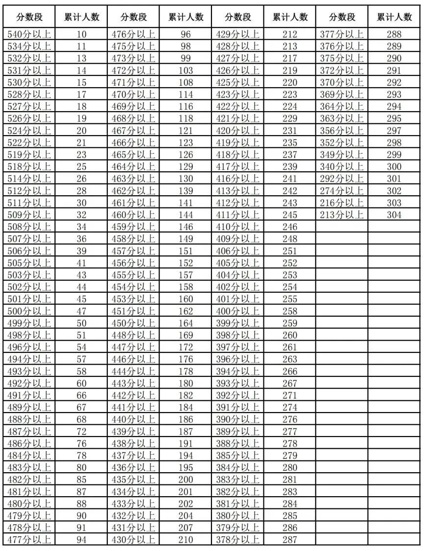
2024年宁夏普通高考总分一分段统计表(文史类)

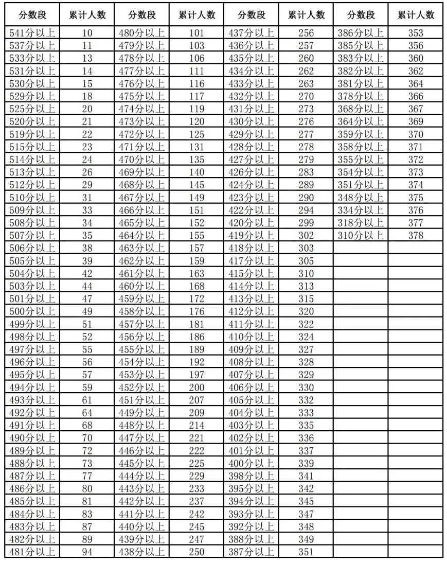
2024年宁夏普通高考总分一分段统计表(理工类)

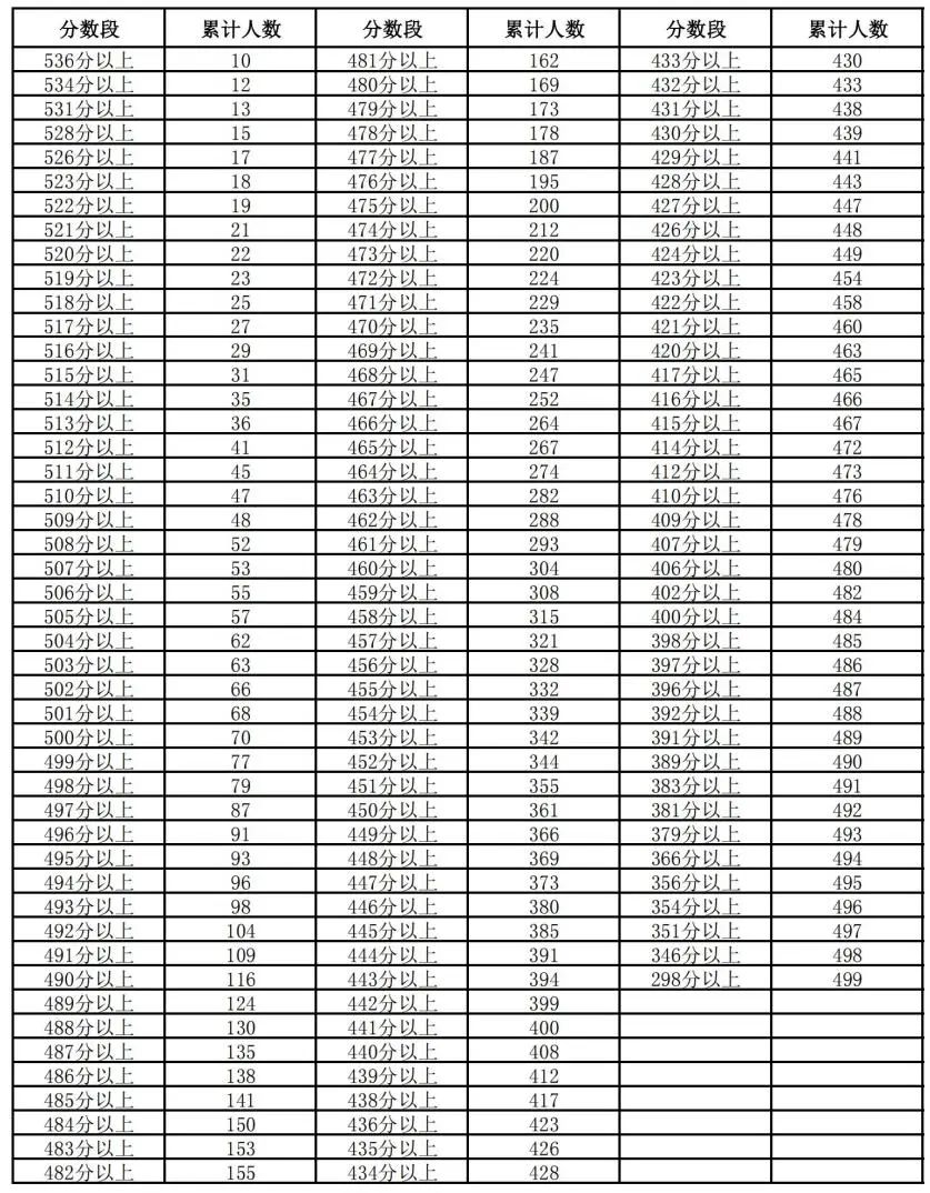
2024年艺术综合分一分段表(艺术文-音乐表演-器乐)

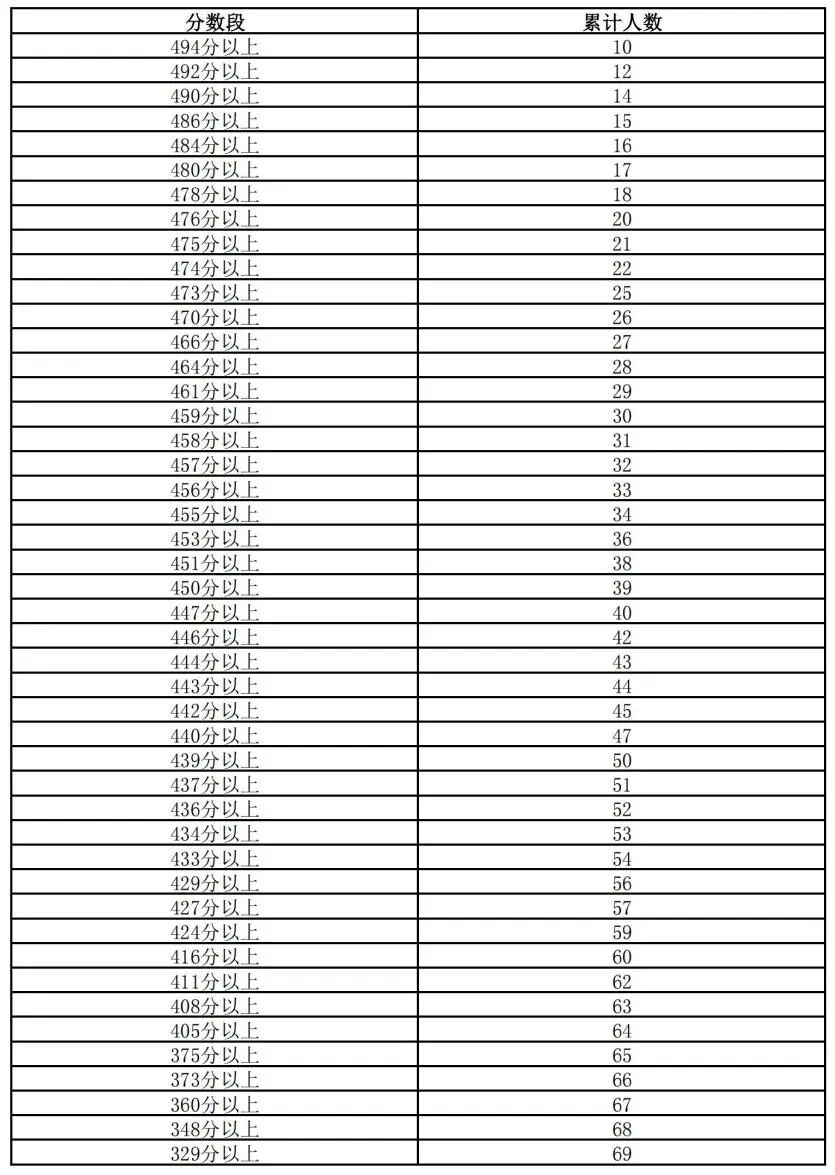
2024年艺术综合分一分段表(艺术文-音乐表演-声乐)

2024年艺术综合分一分段表(艺术文-音乐教育-器乐)

2024年艺术综合分一分段表(艺术文-音乐教育-声乐)

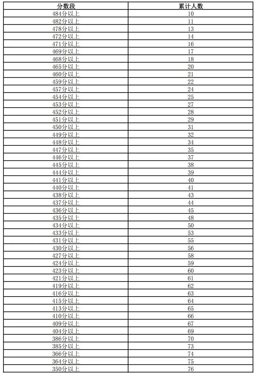
2024年艺术综合分一分段表(艺术文-舞蹈类)

2024年艺术综合分一分段表(艺术文-戏剧影视表演)

2024年艺术综合分一分段表(艺术文-服装表演)

2024年艺术综合分一分段表(艺术文-戏剧影视导演)

2024年艺术综合分一分段表(艺术文-播音与主持类)

2024年艺术综合分一分段表(艺术文-美术与设计类)

2024年艺术综合分一分段表(艺术文-书法类)

2024年艺术综合分一分段表(艺术理-音乐表演-器乐)

2024年艺术综合分一分段表(艺术理-音乐表演-声乐)

2024年艺术综合分一分段表(艺术理-音乐教育-器乐)

2024年艺术综合分一分段表(艺术理-音乐教育-声乐)

2024年艺术综合分一分段表(艺术理-舞蹈类)

2024年艺术综合分一分段表(艺术理-戏剧影视表演)

2024年艺术综合分一分段表(艺术理-播音与主持类)

2024年艺术综合分一分段表(艺术理-美术与设计类)

2024年艺术综合分一分段表(艺术理-书法类)
