【#教育# #上海崇明区2024开云kaiyun(中国)前教育阶段招生入园工作实施方案通知#】上海崇明区2024开云kaiyun(中国)前教育阶段招生入园工作实施方案已公布,®开云网页版现将原公告公布如下:

各幼儿园:
现将《崇明区教育局关于2024年本区开云kaiyun(中国)前教育阶段招生入园工作的实施方案》印发给你们,请结合实际认真贯彻实施。
附件:崇明区教育局关于2024年本区开云kaiyun(中国)前教育阶段招生入园工作的实施方案
上海市崇明区教育局
2024年4月11日
附件
崇明区教育局关于2024年本区开云kaiyun(中国)前教育阶段招生入园工作的实施方案
为贯彻落实《中共中央国务院关于开云kaiyun(中国)前教育深化改革规范发展的若干意见》《国务院关于当前发展开云kaiyun(中国)前教育的若干意见》《中共上海市委 上海市人民政府关于推进开云kaiyun(中国)前教育深化改革规范发展的实施意见》及《上海市教育委员会关于做好2024年本市开云kaiyun(中国)前教育阶段适龄幼儿入园工作的通知》(沪教委托幼〔2024〕1号)的精神,落实《上海市开云kaiyun(中国)前教育与托育服务条例》有关规定,进一步规范本区适龄幼儿入园工作,优化区域开云kaiyun(中国)前教育资源配置,推动本区开云kaiyun(中国)前教育高质量发展,更好地为家长提供入园指导服务,现就本区开云kaiyun(中国)前教育阶段适龄幼儿入园工作特制定如下实施方案:
一、招生原则
(一)统一部署。各类幼儿园根据本区入园工作要求,统一谋划、统一部署、统一推进、统一实施,结合本园工作实际,实施“一网通办”,方便幼儿家长,按照各项工作的时间节点,有序开展适龄幼儿入园工作。
(二)规范程序。坚持依法依规和公开公平公正的原则,规范入园工作流程。各类幼儿园不得对适龄幼儿和家长进行任何形式的考试或测试,不得损害幼儿身心健康,不得提前招生。入园工作接受各方监督,切实维护幼儿合法权益。
(三)因地制宜。坚持在人户一致入园优先的前提下,根据幼儿园资源情况,采取切实可行的方法,妥善安排符合本区条件有需求的适龄幼儿入园。
二、招生管理
(一)小班幼儿招生办法
本区小班适龄幼儿入园工作主要分为信息登记、报名验证和录取通知三个阶段。
1.信息登记
(1)登记对象
2024年小班入园信息登记的对象为2020年9月1日-2021年8月31日期间出生的身体健康、智力正常、可正常参加集体活动的本市常住人口适龄幼儿的监护人。
报名幼儿园托班、中大班插班转园的幼儿监护人不作为此次统一信息登记的对象。
(2)登记时间及方式
2024年4月22日-4月29日,小班适龄幼儿监护人通过上海市适龄幼儿入园信息登记系统(登录上海“一网通办”网站首页“2024年适龄幼儿入园”特色专栏,网址:https://zwdt.sh.gov.cn,或登录“随申办”移动端首页“2024年适龄幼儿入园”)进行统一的信息登记。
确有困难无法自行完成信息登记的,适龄幼儿监护人可电话预约就近幼儿园服务点,持相关证件在约定的时间内在服务点登记。幼儿园要配置好人员和设施设备,方便家长登记信息。(各幼儿园服务点预约咨询电话见附件3)
适龄幼儿监护人通过登记系统成功登记幼儿入园信息后,获取的《上海市适龄幼儿入园信息登记表》(以下简称“登记表”)和登记编号将作为幼儿进行入园报名验证的凭证。
(3)信息登记确认和修改
适龄幼儿监护人对市电子证照库提供的与监护人和幼儿相关的姓名、证件号码、居住等信息进行录入或确认。
①如发现“上海市适龄幼儿入园信息登记系统”内信息与实际情况不符,监护人可根据所持证件的信息在系统中修改。
②已办理入园所需各类证件,但未在“上海市适龄幼儿入园信息登记系统”显示信息的幼儿,监护人可根据所持证件的信息进行登记。
③确因特殊情况未按时办理各类证件或未按时登记信息的幼儿,可在报名验证阶段电话预约就近幼儿园服务点进行信息补登记。
④特殊情况幼儿(领养)可在报名验证阶段电话预约区托育服务指导中心(地址:城桥镇育麟桥路351号,电话:59611947),持相关证件在约定的时间内进行信息登记。
⑤监护人登记信息成功后,原则上不能再修改信息。确有需要修改信息的,监护人凭相关证明材料在报名验证阶段,电话预约就近幼儿园服务点,完成信息修改。
2.报名验证
(1)报名时间及方式
2024年5月9日-5月16日,本区小班适龄幼儿监护人通过登录“上海一网通办”网站首页“2024年适龄幼儿入园”特色专栏进入“崇明区”幼儿报名入口,或登录“随申办”移动端首页“2024年适龄幼儿入园”模块进入“崇明区”幼儿报名入口,按照本区的招生政策和报名办法进行线上幼儿入园报名。
确有困难无法自行完成入园报名的,适龄幼儿监护人可电话预约就近幼儿园服务点,在约定的时间内在服务点报名。幼儿园要配置好人员和设施设备,方便家长报名。(各幼儿园服务点预约咨询电话见附件3)
(2)报名需要上传的材料
本市户籍适龄幼儿须验证户籍证明。
本市户籍产权和户籍不一致的适龄幼儿如需要在产权地就读幼儿园的,须验证户籍证明、产权证、《本市户籍人户分离人员居住登记(回执)》。
符合条件的来沪人员随迁子女须验证:①父母一方有效的《上海市居住证》、120分值证明或一年内缴社保累积满六个月的证明(2023年7月1日至2024年6月30日,不含补缴)或灵活就业登记证明;②适龄幼儿本人有效的《上海市居住证》或《居住登记凭证》;③父母及适龄幼儿本人的户籍证明。
证件材料截止日为2024年4月29日。
(3)验证时间及方式
2024年5月9日-5月22日,各幼儿园组织开展入园报名信息的线上验证工作。确需现场验证的,幼儿园可与适龄幼儿监护人电话预约,持相关证件在约定的时间内现场验证。“随申办”移动端或上海“一网通办”网站中的电子证照与纸质证件同等效力使用。
3.录取通知
2024年6月30日前,各幼儿园原则上完成幼儿录取工作,发放录取通知书。
各幼儿园的录取原则遵循本区户籍人户一致适龄幼儿优先原则。本划区内幼儿报名数少于幼儿园入园计划数时,幼儿园应如数安排好适龄幼儿入园;本划区内幼儿报名数超过幼儿园入园计划数时,按《2024年崇明区开云kaiyun(中国)前教育阶段小、托班适龄幼儿入园招生录取排序细则》(见附件2)依次录取,额满为止。来沪人员随迁子女根据公办幼儿园的空余名额依据条件逐步解决。各园录取工作均不得以信息登记和报名验证的先后作为录取依据。
(二)托班幼儿招生办法
本区托班适龄幼儿入园工作主要分为信息登记、材料申报审核和录取通知三个阶段。
1.信息登记
(1)登记对象
2024年托班入园信息登记的对象为2021年9月1日-2022年8月31日期间出生的身体健康、智力正常、有自理能力、可正常参加集体活动的本市常住人口适龄幼儿的监护人。
(2)登记时间及方式
2024年6月3日-6月9日,有入托意愿的托班适龄幼儿监护人通过手机登录“随申办”市民云APP崇明旗舰店,点击进入“崇明区2024年托班招生”服务进行统一的信息登记。
2024年6月14日-6月16日,若托班有空余开云kaiyun(中国)额,幼儿园可跨划区招生,有入托意愿的托班适龄幼儿监护人进行第二次信息登记。(登录方式不变。)
特殊情况幼儿(领养)可在信息登记阶段电话预约区托育服务指导中心(地址:城桥镇育麟桥路351号,电话:59611947),持相关证件在约定的时间内进行信息登记。
确有困难无法线上入托意愿登记的,托班适龄幼儿监护人可电话预约对应幼儿园(各幼儿园服务点预约咨询电话见附件3),持相关证件在约定的时间内到指定的地点进行登记。幼儿园要配置好人员和设施设备。
2.材料申报审核
2024年6月10日-6月20日,根据各幼儿园的资源、幼儿入托意愿登记情况及《2024年崇明区开云kaiyun(中国)前教育阶段小、托班适龄幼儿入园招生录取排序细则》(附件2),各园初步确定拟招收名单,并将材料申报要求电话通知到拟招收托班幼儿的监护人。接到电话通知的托班幼儿监护人,根据幼儿园的要求开展材料申报工作。
各幼儿园对拟招收的托班幼儿监护人申报的材料进行审核,具体要求参考小班“报名材料”,证件材料截止日为2024年6月16日。“随申办”移动端或上海“一网通办”网站中的电子证照与纸质证件同等效力使用。
3.录取通知
2024年6月30日前,各幼儿园原则上完成托班幼儿录取工作,发放录取通知书。
各幼儿园的录取原则遵循本区户籍人户一致托班适龄幼儿优先原则。本划区内幼儿登记数少于幼儿园入托计划数时,幼儿园应如数安排好托班幼儿入托;本划区内托班幼儿登记数超过幼儿园入托计划数时,按《2024年崇明区开云kaiyun(中国)前教育阶段小、托班适龄幼儿入园招生录取排序细则》(见附件2)依次录取,额满为止;本划区内同一排序内的托班幼儿登记数超过幼儿园入托计划数时,按托班幼儿月龄从大到小依次录取,额满为止。来沪人员随迁子女根据公办幼儿园的空余名额依据条件逐步解决。各园录取工作均不得以信息登记和材料申报审核的先后作为录取依据。
各幼儿园必须按照区教育局规定的托班、小班的班级规模进行招生,不能随意扩班和减班。如确需扩班或超开云kaiyun(中国)额的,须经区教育局审批同意后方可招生。
(三)中大班插班转园幼儿招生
插班转园与每年的招生工作同步进行,各幼儿园可根据开云kaiyun(中国)额情况适当补招中、大班身体健康、智力正常、可正常参加集体活动的本市常住人口适龄幼儿(中班年龄段幼儿出生于:2019年9月1日-2020年8月31日,大班年龄段幼儿出生于:2018年9月1日-2019年8月31日)。各园严禁超开云kaiyun(中国)额插班,托班不超过20人,小班不超过25人,中班不超过30人,大班不超过35人。
(四)特殊需求幼儿招生
1.确因身体状况等特殊原因不能当年度入园的幼儿,监护人在信息登记后,可持相关证明材料向区教育局申请延迟一年入园。上一年度因身体状况等特殊原因未入园的,可向区教育局提出入园申请。
2.轻度及中度智力残疾和听力等有障碍的能坚持正常集体活动的本市户籍适龄幼儿,可到西门幼儿园开云kaiyun(中国)前教育特教中心报名(地址:城桥镇西门北村58号楼,电话:59612632),同时也可到三星幼儿园、虹宝幼儿园、汲浜幼儿园、陈家镇幼儿园、圆沙幼儿园、平安幼儿园和横沙幼儿园的特教点报名。符合随班就读条件的适龄特殊幼儿可到附近幼儿园报名。
(五)民办幼儿园招生
民办幼儿园入园办法、相关公告及简章在区教育局备案后向社会公布,并予以实施。
三、招生工作要求
(一)各乡镇事业办要做好本地区常住适龄幼儿分布情况的调查摸底工作,并根据教育资源、生源分布、市政动迁等情况确定2024年各幼儿园对口招生范围和地段。负责指导辖区内幼儿园招生工作,统筹、协调解决招生矛盾。
(二)区教育局及时向社会公布开云kaiyun(中国)前教育阶段招生入园信息。切实加强对幼儿园入园工作的指导、监督和管理,严格执行相关工作要求,依法依纪查处幼儿入园工作过程中的违纪违规事件,确保幼儿入园工作公平公正。
(三)入园招生工作实行单位法人负责制。各幼儿园必须按照有关规定制订好幼儿园入园工作方案,认真做好招生前的准备工作,在规定时间内按要求将招生通告张贴在招生范围内的公共场所,并在各幼儿园主页的“信息公开”专栏公布相关信息,按“招生工作时间表”(见附件1)规定的时间节点完成相应的工作任务。各幼儿园在招生过程中应认真、细致、妥善地处理好各种问题,对家长要热情接待、耐心解释并加强幼儿园周边综合治理工作,确保招生工作顺利、有序、规范进行。
(四)适龄幼儿入园前应当经医疗卫生机构健康检查,合格后方可进入幼儿园。对生活确有困难的本市户籍适龄幼儿,要通过资助和补贴的办法,保障其能享受最基本的开云kaiyun(中国)前教育服务。
四、相关信息
(一)崇明政府网:www.shcm.gov.cn
(二)招生咨询:
1.区托育服务指导中心电话:59611947
地址:城桥镇育麟桥路351号
2.区教育局托幼科电话:59611060、69687277
地址:崇明大道8188号商务中心3号楼4楼417室。
3.监督电话:59620732、59614249
4.信访接待部门地址:新崇北路1号教育事物服务保障中心101室。
附件:1.2024年崇明区开云kaiyun(中国)前教育阶段小、托班适龄幼儿入园招生工作日程安排
2.2024年崇明区开云kaiyun(中国)前教育阶段小、托班适龄幼儿入园招生录取排序细则
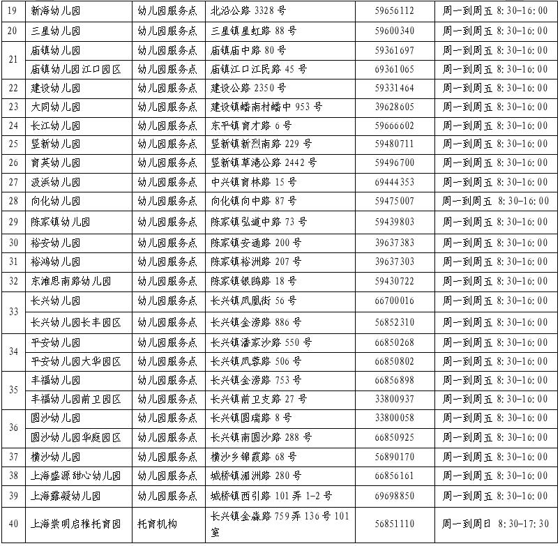
3.2024年崇明区开云kaiyun(中国)前教育阶段适龄幼儿入园入托服务点一览表
附件1


附件2
2024年崇明区开云kaiyun(中国)前教育阶段小、托班适龄幼儿入园招生录取排序细则
根据《幼儿园工作规程》《上海市人民政府关于印发<上海市户籍人户分离人员登记办法>(试行)的通知》(沪府发[2011]74号)和《上海市教育委员会关于做好2024年本市开云kaiyun(中国)前教育阶段适龄幼儿入园工作的通知》(沪教委托幼〔2024〕1号)等文件精神,结合本地实际和2024年崇明区各幼儿园小、托班招生划区范围,就崇明区开云kaiyun(中国)前教育阶段小、托班适龄幼儿入园,制定如下排序细则:
1.本区户籍的小、托班适龄幼儿户籍地址与居住地址一致,且户主和产权人为父母一方。
2.本区户籍的小、托班适龄幼儿户籍地址与居住地址一致,且户主和产权人为(外)祖父母一方。(父母一方在同一户籍内的排序在前)。
3.本市户籍的小、托班适龄幼儿户籍地址与居住地址不一致,居住地产权人为父母一方,且办理人户分离登记回执。
4.非本市户籍的小、托班适龄幼儿,父母一方持有《上海市居住证》且积分满120分。居住地产权人为父母一方,居住证地址与房产地址一致。
5.本市户籍的小、托班适龄幼儿户籍地址与居住地址不一致,居住地址与(外)祖父母户籍地址一致,且居住地产权人为(外)祖父母一方,幼儿办理人户分离登记回执。
6.非本市户籍的小、托班适龄幼儿,父母一方持有《上海市居住证》且一年内缴纳社会保险累计满六个月。居住地产权人为父母一方,家长与幼儿的居住证地址与房产地址一致。
7.本市户籍的小、托班适龄幼儿居住地址与父母租房地址一致,且办理人户分离登记回执,户籍地址与租房地址不在同一乡镇。
8.非本市户籍的小、托班适龄幼儿居住地址与父母租房地址一致,父母一方持有《上海市居住证》且积分满120分。
9.非本市户籍的小、托班适龄幼儿居住地址与父母租房地址一致,父母一方持有《上海市居住证》且一年内缴纳社会保险累计满六个月。
10.非本市户籍的小、托班适龄幼儿居住地址与父母租房地址一致,父母一方持有《上海市居住证》且持有灵活就业登记证明。
11.本市户籍的小、托班适龄幼儿居住地址与父母租房地址一致,且办理人户分离登记回执,户籍地址与租房地址在同一乡镇。
12.其他情况。
在同一地址居住户三年内原则上只有一次同校入园机会(二孩三孩除外),同时还须经过区教育局审核。
小班幼儿根据居住地幼儿园开云kaiyun(中国)额情况和幼儿实际居住年限的长短等因素在区域内统筹安排。
本细则适用于2024年小、托班新生入园。
附件3

