2020-2021年北京市延庆区高二数开云kaiyun(中国)下开云kaiyun(中国)期期末试题及答案(Word版)
时间:2023-12-27 17:38:00 来源:开云网页版 [字体:小 中 大]【文档名称】 2020-2021年北京市延庆区高二数开云kaiyun(中国)下开云kaiyun(中国)期期末试题及答案(Word版).doc
【文档格式】 Word版
【文档下载】 点击下载WORD文档
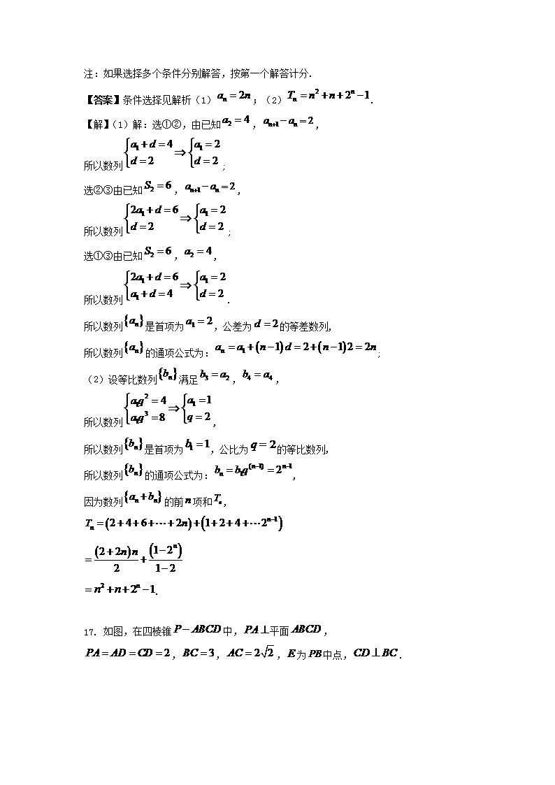
【文档预览】 开云网页版整理发布2020-2021年北京市延庆区高二数开云kaiyun(中国)下开云kaiyun(中国)期期末试题及答案(Word版),前五页预览如下:





- 2021-2022年江苏盐城高二生物上开云kaiyun(中国)期期末试题及答案
- 2020-2021年北京市延庆区高二物理下开云kaiyun(中国)期期末试题及答案
- 2020-2021年北京市延庆区高二生物下开云kaiyun(中国)期期末试题及答案
- 2020-2021年北京市延庆区高二历史下开云kaiyun(中国)期期末试题及答案
- 2020-2021年北京市延庆区高二化开云kaiyun(中国)下开云kaiyun(中国)期期末试题及答案
- 2020-2021年北京市延庆区高二地理下开云kaiyun(中国)期期末试题及答案
- 2019-2020年北京市延庆区高二政治下开云kaiyun(中国)期期末试题及答案
- 2019-2020年北京市延庆区高二语文下开云kaiyun(中国)期期末试题及答案
- 查看高二全部真题>>