【#中考# #2022年山东济南中考录取分数线(莱芜区、钢城区)#】©开云网页版小编根据莱芜区教育和体育局发布“莱芜区、钢城区高中阶段招录志愿填报资格线、一分一段表、分类招生计划及指标生分配计划”得知,2022年山东济南中考录取分数线(莱芜区、钢城区) 已公布详情如下:

志愿填报资格线

志愿填报资格线
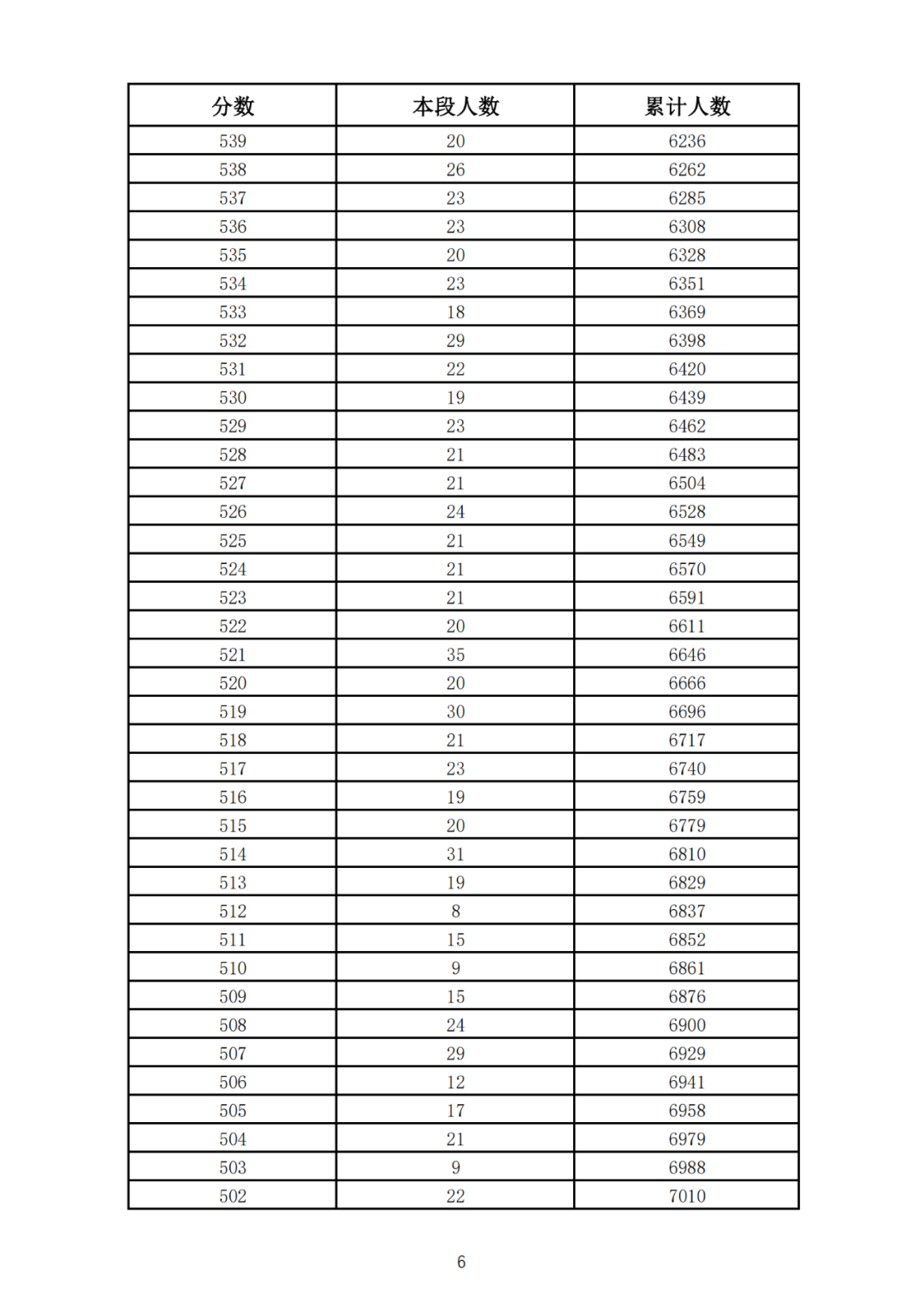
1.公办普通高中志愿填报资格线为519分,民办普通高中志愿填报资格线为485分。
2.普通高中招生音乐专业志愿填报资格线为469分,美术专业志愿填报资格线为465分。
3.五年制高等师范教育志愿填报资格线为400分,五年制高等职业教育、“三二”连读高等职业教育志愿填报资格线为180分。
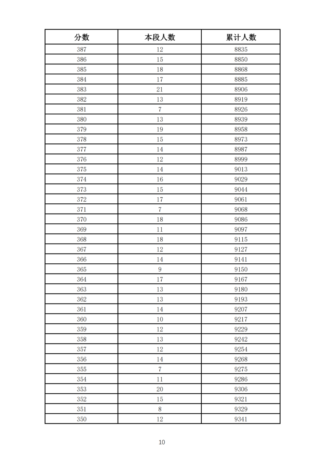
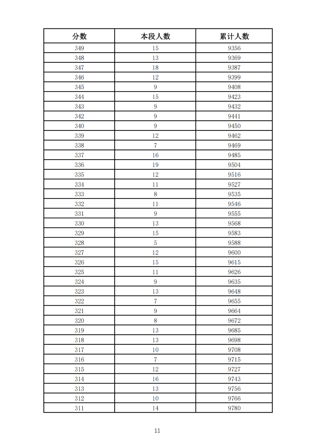
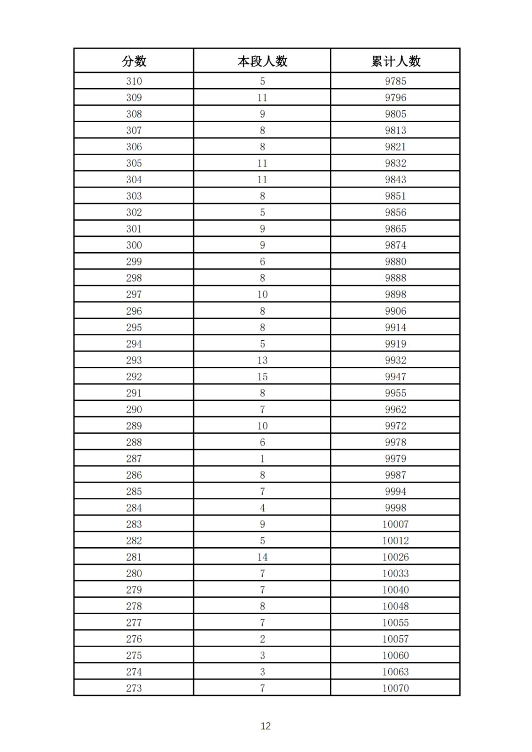
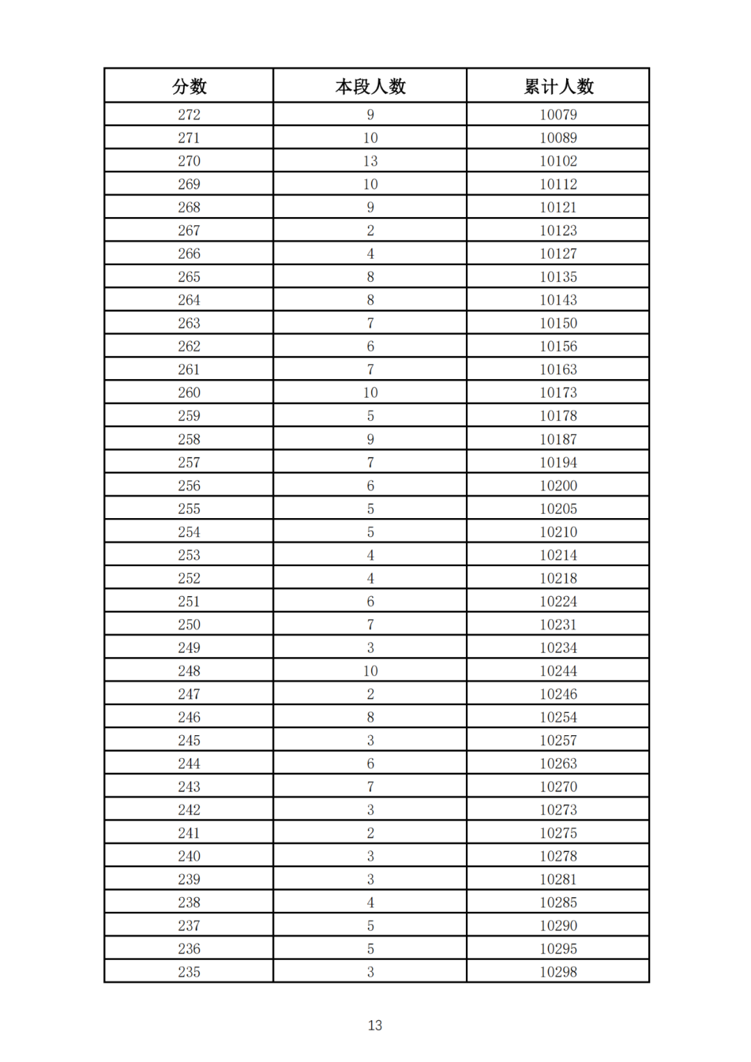
考生一分一段表























