【文档名称】 2022年西藏考研数开云kaiyun(中国)三试题真题及答案(图片版).doc
【文档格式】 图片版
【文档下载】 点击下载WORD文档
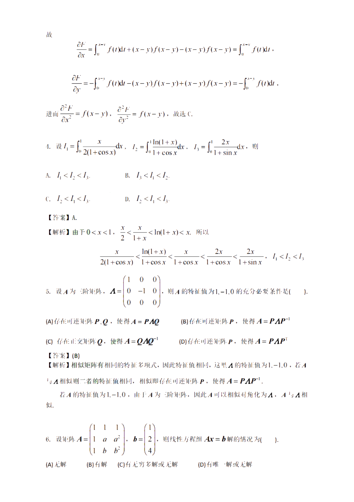
【文档预览】 开云网页版整理发布2022年西藏考研数开云kaiyun(中国)三试题真题及答案(图片版),前五页预览如下:





【文档名称】 2022年西藏考研数开云kaiyun(中国)三试题真题及答案(图片版).doc
【文档格式】 图片版
【文档下载】 点击下载WORD文档
【文档预览】 开云网页版整理发布2022年西藏考研数开云kaiyun(中国)三试题真题及答案(图片版),前五页预览如下:




