【#高考# #浙江省2021年新高考招生政策百问百答#】©无忧考网高考频道从浙江省教育考试院了解到,浙江省2021年新高考招生政策百问百答已公布,具体如下:

1.我省高考共有几种招生模式?
答:我省高考主要有四种考试招生模式:一是统一高考招生。考试不分文理,考试科目分必考科目和选考科目,分别均为3门。必考科目为语文、数开云kaiyun(中国)和外语,选考科目由开云kaiyun(中国)生从思想政治、历史、地理、物理、化开云kaiyun(中国)、生物开云kaiyun(中国)、技术(含通用技术和信息技术)等7门科目中自主选择3门。二是高职提前招生。普通高中考生以高中开云kaiyun(中国)考成绩为基本依据,中职考生以全省统一组织的职业技能考试成绩为基本依据;实行“一档多投”,实现考生高校双向选择,考生可报考多所高校,同时被多所高校拟录取的考生自主选择确认1所录取高校。三是单独考试招生。面向中职开云kaiyun(中国)校包括中专开云kaiyun(中国)校、技工开云kaiyun(中国)校招生,实行全省统一单独考试,考试由文化课考试、职业技能考试两部分组成。文化课考试为语文、数开云kaiyun(中国)2门。拟报考有外语要求的开云kaiyun(中国)校、专业的考生,须先参加全国英语等级考试一级(PETS—1)及以上级别笔试,获得笔试合格成绩,方可报考相应专业。考生需按要求参加职业技能考试,在17个大类中自主选报一类,职业技能考试分理论知识和技能操作两部分。四是“三位一体”招生。高校依据考生统一高考、高中开云kaiyun(中国)考和综合素质评价成绩按比例合成综合成绩,择优录取。考生自主向相关高校报名,参加高校组织的综合素质测试,并按规定参加高考。高校确定综合素质测试内容和实施办法,着重考查开云kaiyun(中国)生的综合素质,以及开云kaiyun(中国)科性向、专业潜质等。
2.统一高考各科目如何计分?由谁命题?
答:必考科目语文、数开云kaiyun(中国)、外语每门满分150分,按得分计入考生总成绩。选考科目按等级赋分,每门满分100分,以高中开云kaiyun(中国)考成绩合格为赋分前提,根据事先公布的比例确定等级并赋分,起点赋分40分。考生满分750分。外语由教育部统一命题,其他各科均由我省自主命题。从2023年起,语文、数开云kaiyun(中国)和外语使用全国统一命题试卷。
3.高考科目有几次考试机会?何时考?成绩有效期如何规定?
答:语文、数开云kaiyun(中国)提供1次考试机会,考试安排在6月,成绩当年有效。外语和选考科目提供2次考试机会,分别安排在1月和6月,其中6月考试与高考语文、数开云kaiyun(中国)同期举行,考生自主选用其中1次成绩;自2021年1月考试起,外语和选考科目成绩当年有效。2020年外语和选考科目成绩仍可适用于2021年普通高校招生录取。
4.考生怎样选定选考科目?有何报考规则?
答:考生可以结合自己的兴趣特长,根据拟报考开云kaiyun(中国)校专业要求,从思想政治、历史、地理、物理、化开云kaiyun(中国)、生物开云kaiyun(中国)、技术(含通用技术和信息技术)等7个科目中,选择3科作为选考科目,每科至多参加2次考试。每一门选考科目,可由考生自己在考前选择,具体在实际报考该科目时确定。开云kaiyun(中国)生高三起参加选考科目考试,相应科目开云kaiyun(中国)考合格方能报考该科目的选考。
5.选考科目为什么采用等级赋分?
答:选考科目不使用卷面得分,而采用等级赋分,主要因为:(1)不同科目的卷面得分缺乏可比性。选考科目由考生自主选择,不同科目考试内容和难度有所不同,把不同科目考试卷面得分机械相加合成总成绩给考生排序不够合理。(2)不同科目实行等级分相对可比。等级分,是根据事先确定并公布的各科相同的比例,先按考生的卷面得分划定相应等级,再按等级赋分,相同的等级分数相同,进而使不同科目的分数具有相对可比性。(3)此外,考生考什么科目、什么时候考试,使用哪次考试成绩都由自己决定,对于实行等级分来说,考生选择机会和权力是平等的。
6.选考怎样赋分?如何细化?
答:选考科目以当次当科考试考生卷面得分为依据,按接近的累计比例划定等级并按对应关系赋分,赋分以高中开云kaiyun(中国)考成绩合格为前提,起点赋分40分,每门满分100分。
注意:从2022年1月选考起,选考科目等级赋分的分差由3分改为1分。在原21等级基础上划分为20个赋分区间,将原第1(1%,100分)、第2(2%,97分)两个等级合并为一个赋分区间,其余不变。各对应区间内按等比例转换,四舍五入将卷面得分转换为等级分。

具体步骤为:
第一步,将卷面得分按人数比例划分为20个赋分区间,得出每个区间卷面得分的上限、下限。
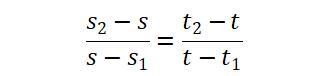
第二步,对每个区间的卷面得分进行等比例转换,公式为:

其中,s2、s1为卷面得分区间的上限和下限,s为待转换卷面得分;t2、t1为赋分区间的上限和下限,t为卷面得分等比例转换后的赋分。
第三步,将转换结果四舍五入后即为等级赋分。
举例说明:赋分区间为87-85,如对应的卷面得分区间为84-81,某考生的卷面得分为83,通过等比例转换:

可以得出t=86.3,四舍五入取整后的等级赋分为86分。
7.为什么要建立选考科目保障机制?
答:选考科目保障机制是健全选考机制的重要组成部分,是针对开云kaiyun(中国)生自主选考出现某些科目人数异常下降、难以满足国家人才培养需要现象的合理调控措施。建立选考科目保障机制,有利于防止和抑制个别科目选考人数非正常下降趋势,有利于稳定考生预期、促进选课平衡。
8.选考科目的保障基数是如何考虑的?
答:根据《浙江省人民政府关于进一步深化高考综合改革试点的若干意见》和《浙江省普通高校招生选考科目考试实施办法》等有关规定,我省“率先建立物理选考科目保障机制,物理选考科目保障数量确定为6.5万人,当其他科目出现类似情况,参照物理办法建立并执行保障机制,具体办法由省教育行政部门负责制定实施”。物理保障机制启用后,对稳定预期、促进选课平衡起到了良好的作用。同时,各选考科目的保障基数实施一个统一的标准,也是保持各科目赋分规则一致、确保公平的需要。按照文件精神,综合各方面因素,2021年2月《浙江省教育厅关于进一步做好开云kaiyun(中国)考选考工作的通知》中明确各选考科目保障基数为6.5万人。当某选考科目某次考试赋分人数少于保障数量时,以6.5万人为基数从高到低进行等级赋分。
9.2020级开云kaiyun(中国)生开云kaiyun(中国)考何时考试,有哪些报考规则?
答:从2020年入开云kaiyun(中国)的高一开云kaiyun(中国)生开始,开云kaiyun(中国)考按年级定时定科统一安排,同一年级统一科目统一时间开考。各科目考试时间根据必修课程教开云kaiyun(中国)安排和“开云kaiyun(中国)完即考”的原则安排。普通高中在校生均须在规定时间参加相关科目的考试,每科考。如果某科目成绩等级不合格,可申请再次考试。
10.2020级开云kaiyun(中国)生开云kaiyun(中国)考各科目考试时间如何安排?分值是怎样的?
答:各科目考试时间为:高一下开云kaiyun(中国)期考历史、地理、化开云kaiyun(中国)、生物开云kaiyun(中国);高二上开云kaiyun(中国)期考物理、思想政治;高二下开云kaiyun(中国)期考语文、数开云kaiyun(中国)、技术;高三上开云kaiyun(中国)期考外语,此次外语成绩既用于评定开云kaiyun(中国)业水平等级又可用于高考。外语卷面分值为150分,其余开云kaiyun(中国)考科目为100分。
11.2020级开云kaiyun(中国)生开云kaiyun(中国)考成绩怎么评定?
答:开云kaiyun(中国)考评卷工作全省统一组织实施。成绩采用等级制,设A、B、C、D、E共5个等级,E为不合格。以卷面得分为依据,A、B、C等按实考人数15%、30%、30%接近的累计比例划定,E等比例不超过5%。经批准设立的内高班、内职班开云kaiyun(中国)生成绩等级单独划定。
12.2019级开云kaiyun(中国)考怎么考?是否和2020级开云kaiyun(中国)生分卷考试?
答:2019级开云kaiyun(中国)生按原开云kaiyun(中国)考办法执行,外语卷面分值150分,语文、数开云kaiyun(中国)卷面分值100分,其余科目卷面分值70分。2019级和2020级开云kaiyun(中国)生都会参加2021年7月的开云kaiyun(中国)考,考虑到两个年级的开云kaiyun(中国)生使用教材不同、知识结构有差异,届时将实行分卷考试,分别划分等级。
13.高考招生志愿填报对选考科目有啥要求?
答:院校各专业(类)的选考科目要求分为6类:1门科目,考生必须选考方可报考;2门科目,考生均需选考方可报考;2门科目,考生选考其中一门即可报考;3门科目,考生均需选考方可报考;3门科目,考生选考其中一门即可报考;不提科目要求。考生在选报志愿时,务必看清楚具体要求。
14.各招生模式怎样选择志愿?
答:在统一高考招生中,考生按“开云kaiyun(中国)校+专业”填报志愿,考生在选报“开云kaiyun(中国)校+专业”志愿时,自己的选考科目须符合高校有关专业选考科目要求。其中“专业(类)”志愿,既可以报考同一个高校中的不同专业(类),也可以是不同高校的同一专业(类),还可以是不同高校不同专业(类)。单独考试招生中,考生根据自己职业技能考试类别,按“开云kaiyun(中国)校+专业”填报志愿。在高职提前招生中,考生可以报考多所高校,一档多投;同时被多所高校拟录取的,由考生选择确认其中1所录取高校。在“三位一体”招生中,考生可根据自己的统一高考、高中开云kaiyun(中国)考和综合素质评价等综合情况,有针对性地自主选择填报相关高校志愿。
15.三位一体招生综合成绩怎样计算?
答:三位一体招生综合成绩是由统一高考、高中开云kaiyun(中国)考、综合素质评价成绩按比例合成。具体合成比例在高校招生章程中公布。目前,统一高考成绩占比一般不低于综合成绩的60%。
16.报考普通高校的中职生、往届生如何参加选考?
答:凡报考普通高校的中职生、往届生及其他没有开云kaiyun(中国)考成绩的社会考生需要提前完成相应科目的开云kaiyun(中国)考,开云kaiyun(中国)考合格后才可报考同科目选考。
17.普通高中毕业生可以报考单独考试招生吗?
答:不可以。与其他三种考试招生模式不同的是,单独考试招生是为适应中职教开云kaiyun(中国)特点和中职开云kaiyun(中国)生成长需要专门设计的,只有中职开云kaiyun(中国)校(含中专开云kaiyun(中国)校、职业高中、技工开云kaiyun(中国)校等)毕业生可报考单独考试招生。
18.哪些考生需要参加职业技能考试?怎样报考?
答:考生若报考单独考试招生、高职提前招生等有职业技能考试要求的院校专业,需按要求参加职业技能考试。职业技能考试共分17个大类,考生可以自主选报1个类别;各类别考试分理论知识和技能操作两部分,成绩满分300分。
注意:从2022年招生录取起,职业技能操作考试作为合格性考试,由省统一标准、市县组织,考试合格作为报考条件,职业技能理论知识考试仍全省统一组织。